几种水泥助磨剂对粉煤灰水泥性能的影响

日期:09-13  点击:7747  属于:产品技术
本文就三种水泥助磨剂-三乙醇胺、三异丙醇胺和自制助磨剂对粉煤灰水泥性能的影响进行了实验探讨,对生产实践提供了参考。实验分别将三乙醇胺(TEA)、三异丙醇胺(TIPA)及实验室自制的自制助磨剂以0.03%~0.08%的不同比例添加到粉煤灰水泥中,通过胶砂试验测试水泥强度并结合XRD和SEM表征,分析三乙醇胺,三异丙醇胺和实验室自制助磨剂对水泥水化过程的影响。结果表明:三种助磨剂都对粉煤灰水泥有很好的增强作用,TEA增强主要表现在后期28d,胶砂试验的水泥试块抗压强度提高了26.8%到33.4%;TIPA增强作用主要表现在前期3d,胶砂试验的水泥试块抗压强度提高了7.1%到22.2%;自制助磨剂早期3d和后期28d增强效果都明显,胶砂试验的水泥试块3d抗压强度提高了4.6%到8.6%,28d强度提高了24.4%到30.4%。XRD和SEM研究显示各助磨剂增强机理并不一样。
1引言
助磨剂的使用可提高粉磨效率,改善水泥性能,实现节能减排。目前,随着人们对水泥建材要求的不断提高和水泥生产量的加大,越来越多的水泥厂开始使用助磨剂并取得了理想效果。国内水泥厂最常用的助磨剂大概分为两种:固体助磨剂和液体助磨剂。液体助磨剂因在安全性、稳定性和方便性等方面具有的优越性而受到更大青睐。助磨剂中主要成分为:多元醇类、多元胺类、木质磺酸素类等表面活性剂物质。
几种水泥助磨剂对粉煤灰水泥性能的影响
 
粉煤灰是指燃煤电厂中磨细煤粉在锅炉中燃烧后从烟道排出、被收尘器收集的物质。粉煤灰大量占用土地,严重污染环境,已经成为国民经济持续发展的障碍。因此,粉煤灰的资源化成为我国可持续发展战略的重要组成部分。粉煤灰主要化学成分为二氧化硅及氧化铝,含少量氧化钙,具有火山灰性质,是火山灰质混合材料的一种。其玻璃体含量较高,这部分非晶态物质内部贮存有大量的化学潜能,可作水泥的活性混合材用。本论文的目的在于提供一种自制液体水泥助磨剂,该助磨剂在粉煤灰水泥配比不变的情况下能够显著提高粉煤灰水泥的性能,并给实际生产提供借鉴价值。
2实验
2.1实验材料
实验所用水泥熟料、粉煤灰、石灰石和石膏来自广西鱼峰水泥股份有限公司。其成分如表1所示。
实验用砂为中国ISO标准砂;实验用水为纯净水,原料均为分析纯;三乙醇胺为分析纯;三异丙醇胺为分析纯;自制助磨剂配比为:三乙醇胺14%,聚乙二醇(分子量400)4%,二乙二醇3%,三异丙醇胺9%,乙酸钠5%。
2.2实验方法
将所需物料进行烘干处理。按照熟料∶粉煤灰∶石灰石∶石膏=56∶30∶7∶7的比例将物料混合均匀后进行粉磨42min。出磨物料过0.08μm方孔筛,取筛下部分留作备用。
考虑到《通用硅酸盐水泥GB175-2007》中已有明确规定,要求水泥助磨剂的掺量不得超过水泥质量的0.5%,且从经济效益考虑助磨剂掺量宜少不宜多。所以该试验分为四组,第一组为空白组,不加任何水泥助磨剂,试验编号对应为KB;第二组添加三乙醇胺,添加量为0.03%,0.05%,0.08%,试验编号对应为A1,A2,A3;第三组添加三异丙醇胺,添加量分别分别为0.03%,0.05%,0.08%,试验编号对应为B1,B2,B3;第四组添加实验室自制助磨剂,添加量分别为0.03%,0.05%,0.08%,试验编号对应为S1,S2,S3。具体如表2所示。
水泥胶砂强度检验方法依据GB/T17671-1999进行;
将测完强度的水泥样条敲碎,取中间部分,过120目方孔筛,保留筛下部分做XRD和SEM。
3结果与分析
3.1强度实验结果
不同实验编号的水泥其强度测试结果如表3所示。
表3数据显示,加入助磨剂的三组实验所测得的水泥早期强度和后期强度均高于空白组。3d时,只有A1组与空白组持平。其中,B1、B2、B3和S1、S2、S3的增强作用最为明显。B1、B2、B3较空白组强度分别提高1.4MPa、2.0MPa、4.4MPa,提高幅度为7.1%、10.1%和22.2%;S1、S2、S3较空白组分别提高1.7MPa、0.9MPa、1.2MPa,提高幅度为8.6%、4.6%和6.1%。28d时,加了助磨剂的三组实验组强度进一步增强,且与空白组的相比优势更为明显。A组强度赶上并超过了其他组,后期强度最高;其次为S组;B组强度虽低于A和S组强度,但也明显高于空白组强度。与空白组相比,A组强度增加8~10MPa,提高幅度为26.8%~33.4%;B组强度增加6.7~8.3MPa,提高幅度为22.4%~27.8%;S组强度增加了7.3~9.1MPa,提高幅度为24.4%~30.4%。
各龄期水泥抗压强度与助磨剂掺量之间的关系曲线如图1所示。
从图1也可看出,三乙醇胺三异丙醇胺和实验室自制助磨剂对水泥都有很好的增强作用。三乙醇胺的增强作用主要表现在后期,而三异丙醇胺的前期效果更好。实验室自制助磨剂结合了二者优点,同时弥补了二者不足之处,表现为对水泥的早期和后期都有明显的增强效果。
目前市售液体助磨剂掺量都在水泥质量的0.05%左右,考虑到实验组0.03%的掺量效果与0.05%的掺量效果相差不大,而在成本上却可减少40%,因此决定选用A1,B1,S1组作为XRD和SEM研究对象。
3.2XRD测试结果
水泥水化3d后测得的XRD如图2所示。从图2可以看出,A1,B1,S1的加入并没有改变水泥水化产物的出峰位置,说明A1,B1,S1中助磨剂的加入并没有改变水泥的水化产物种类。但是峰的强度有了明显的区别。众所周知,氢氧化钙是水泥中硅酸三钙和硅酸二钙的水化产物之一。反应式如下:
  (1)
  (2)
反应(1)和(2)中的水化产物中都有氢氧化钙生成。因此,我们可以用氢氧化钙的峰来判断硅酸三钙和硅酸二钙的水化程度。从图2可以看出,跟KB样相比,B1中助磨剂的加入使氢氧化钙的特征峰明显加强了,表明B1的加入能够促进水泥中硅酸三钙和硅酸二钙水化反应的进行;S1中助磨剂的加入对水泥强度也有一定增强作用,但不如B1的增强作用明显;而A1中助磨剂的加入非但没有对水泥强度起到增强反而还要比KB要弱,说明A1在水化早期对水泥中硅酸三钙的水化有一定的抑制作用,但从图2中我们可看出A1-3中钙矾石的峰值较空白组要强。可知,A1的加入虽然不能促进硅酸三钙的水化反应,但对石膏和水化铝酸三钙反应生成钙矾石却有很好促进作用,这点在后面SEM照片中也可以得到证实,具体反应式如下:
在水泥水化早期,钙矾石的生成对强度贡献值较大。且随着三乙醇胺的量的增加,这种促进作用更加明显,使水泥的早期强度也不断提高。这也正是表3中A2、A3强度值要比空白组强度值高的原因所在。
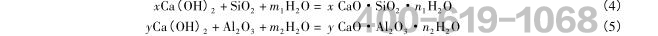
水泥水化28d后测得的XRD如图3所示。从图3中可以发现,硅酸三钙和硅酸二钙的峰强已经很弱了,说明大量的硅酸三钙和硅酸二钙已参加反应生成了硅酸钙凝胶体系和氢氧化钙。而产物中的氢氧化钙与粉煤灰中的活性二氧化硅和氧化铝反应生成了具有水硬性的水化硅酸钙和水化铝酸钙,因此,氢氧化钙也会大量减少,具体反应式如下:
氢氧化钙的含量从侧面反应了反应(4)、(5)进行的程度。因此,我们仍可以用氢氧化钙的含量来说明粉煤灰水泥的水化程度。A1-28,B1-28,S1-28中氢氧化钙的峰值都要比KB-28的弱,说明在后期反应过程中氢氧化钙被大量消耗用来参加后续反应(4)和(5)。生成的反应物使水泥后期强度大幅度提高。其中,A1-28和S1-28中氢氧化钙的峰值最小,说明粉煤灰反应的最完全,这也是A1和S1后期强度高的原因;B1中氢氧化钙的含量次之,但要比KB中的含量少。
结合强度分析可知,在早期,针状及棒状的钙矾石晶体对水泥抗压强度有一定的积极影响,但随着钙矾石生成量的增加,对水泥的安定性产生了不良影响,影响了水泥的强度。而水化硅酸钙凝胶体系对水泥抗压强度有决定性作用。所以,抗折强度和抗压强度的强度变化规律并不一定会一致。
3.3SEM测试结果
从图4的SEM图可以看出,未加助磨剂的空白样中水泥颗粒表面光滑,大部分粉煤灰颗粒都没有参加水化反应。而其余的三个实验组虽然也可从图中看到很多光滑的未参加反应的表面,但总体而言,反应都比KB组更充分。在A1和S1中有大量的棒状钙矾石晶体生成,这与3d的XRD图分析结果一致。在B1中,虽然钙矾石的生成量不及A1、S1中的多,但是片层的氢氧化钙和絮状的水化硅酸钙凝胶含量更多。水化硅酸钙凝胶体对水泥石的强度起着决定性作用, 这也是 B1 早期强度高于其他组的原因。
 
 
从图5中水泥28d的SEM来分析,空白样虽然也发生了一定程度的水化反应,但反应物空隙较多较大,比较松散,只有少量棒状和针状物质搭镶其中。密实程度不及A1,B1和S1。而A1组的水化产物致密,形貌均一,间隙中有棒状钙矾石桥接其中,形成一个致密的整体。B1中棒状晶体彼此穿插,结构紧密,未完全参加水化反应的粉煤灰表面致密层也已被破坏,附着了氢氧化钙与从粉煤灰析出的活性氧化铝与二氧化硅的反应产物:水化铝酸钙和水化硅酸钙等粒状物质。S1中凝胶状的水化硅酸钙大量生成,少量钙矾石镶嵌其中几乎未见没参加反应的粉煤灰颗粒。A1、B1、S1中大量生成的硅酸钙凝胶和钙矾石晶体以及致密的内部结构在宏观上表现为强度的大幅度提升。
4结论
(1)三乙醇胺三异丙醇胺和实验室自制助磨剂都对粉煤灰水泥有一定的增强作用。但增强效果并不相同。三异丙醇胺早期增强效果最明显。三乙醇胺后期增强效果更好。实验室自制助磨剂则能结合二者优点,早期和后期都能达到很好的增强效果;
(2)三异丙醇胺在早期能够促进硅酸三钙和硅二钙的水化反应生成水化硅酸钙凝胶达到早强效果;三乙醇胺早期能够促进水泥中的石膏与水化铝酸钙反应生成难溶的水化硫铝酸钙针状结晶体,也称为钙矾石晶体。更能在后期促进粉煤灰玻璃体的瓦解,使粉煤灰中的活性二氧化硅和氧化铝参与反应达到后期增强的效果;自制助磨剂既能在早期促进硅酸三钙和硅酸二钙的水化又能在之后促进粉煤灰颗粒参与反应,达到早期和后期增强都比较理想的效果;
(3)从经济实用和性价比角度考虑,自制助磨剂成本只有不到前两者的三分之一,更易推广应用。
 
微信扫描关注我们
电子天平,华志电子天平,二氧化氯,化学试剂,玻璃仪器,进口化学试剂,化工原料,精密仪器,电子称,山东化工,青岛精科,生化试剂,仪器仪表

联系人:范女士

手机:18603311238

电话:13032684758 18932913086

邮件:2332581861@qq.com

地址:河北省石家庄市平安北大街158号紫晶广场A座12层

石家庄市海森化工有限公司 版权所有 冀ICP备09012758号-2  技术支持:杰云网络